Сообщество - Лига Химиков

Лига Химиков

1 865 постов 12 860 подписчиков

Популярные теги в сообществе:

300

Помощь от химиков

Зачастую в сообществе кроме познавательных статей, красивых фотографий и профессионального юмора люди выкладывают посты с просьбой о помощи/советом от химика по различным вопросам бытового плана. Конечно, химики имеют представления об основных понятиях, но у всех есть то или иное направление, которым конкретно они занимаются и в котором они более компетентны, тогда как в других областях знают лишь общие факты.


В связи с этим я подумал, было бы неплохо, если в комментариях к этому посту отпишутся люди, которые при случае смогут проконсультировать другого пользователя по теме, в которой сами хорошо разбираются.


Таким образом, начну с себя :)

@Mircenall - направление: аналитическая химия (в прошлом химическая технология редких и рассеянных элементов).

Области: химия вольфрама, молибдена, титана и меди, химический анализ питьевой воды, определение полифенолов и комплексонов, спектрофотометрия, химия минералов.

Помощь от химиков
Показать полностью 1
118

Кристаллы N-гидроксисукцинимида

N-гидроксисукцинимид (NHS) - вещество, которое чаще всего используется в органической химии в реакциях с карбоновыми кислотами для синтеза активированных NHS-эфиров, способных вступать в реакцию с аминами. Также они находят применение в биохимии - участвуют в синтезе пептидов и используются для мечения белков (NHS-эфир флуоресцеина) и других биомолекул.

Кристаллы N-гидроксисукцинимида

NHS является производным пирролидина. Несмотря на то, что ранее представленный BnPINO имеет в своём составе похожую структуру, принадлежат они к разным классам

Моя страница ВК

Показать полностью 1
114

Кристаллы гексафторацетилацетоната меди

Гексафторацетилацетонат меди(II) (сокращённо Cu(hfacac)2) является комплексом, который катализирует образование илидных структур и разложение диазосоединений.

Кристаллы гексафторацетилацетоната меди

Также может служить промежуточным веществом для образования более сложных органических комплексов. Вещество плохо растворяется в воде, но делает это хорошо в толуоле, ацетоне и этаноле.

Благодарю снова @Niknikco за предоставленные для фотосъемки образцы

https://vk.com/mircenall

Показать полностью 1
0

Помогите понять)))  Ca(OH)2 - Реактив или строительная смесь: нейтрализуем HF

Всем привет! Помогите разобраться.


(у меня до разговора с шефом 2 дня, нужны аргументы)


Вопрос по поводу реактивов для нейтрализации плавиковой.


Дано:

Плавиковая-40% используется для обработки образцов грунта.

После работы с HF мы ее нейтрализуем (для последующей утилизации) где-то 1/2 раза в неделю от 2 до 5 литров за раз.


До сих пор использовали пушонку чда.

Но есть идея сэкономить и заменить ее не на химически чистый реактив хотя бы степени техн, а вообще в строймагазине покупать мешками пушонку (гашеную известь) 1-го или 2-го сорта: что дешевле.


Вот что пишут о строительной смеси продавцы на сайтах:


Технические характеристики

Пушонка строительная

Содержание активных CaO+MgO 82%

Содержание Ca(OH)2 92%

Содержание СО2 5-6%

Влажность 65-66%

Остаток на сите № 02 не более 0,8%

Остаток на сите № 009 не более 1,6%

Активный MgO не более 0,64%

Глубина проникания 12 мм

Свободная вода 1,80%

Содержание воздуха 0,8%


Вопрос:

А я не химик, у меня вопрос к тому,

1. насколько при гашении усилится и так активная реакция,

2. станет более непредсказуемой из-за неизвестных примесей (и каждый раз по-разному же),

3. И насколько пары в себя вберут этих примесей - как сильно воздух загрязняться будет и как это повлияет на лаборантов и их здоровье.


Ответ (?):

В общем, что скажете?

Если химии боятся, зачем туда лезть: там не может быть никаких примесей, чего придумывать?!


Или


Вы офигели на таком экономить, если реакции никто предсказать не может?


Очень прошу аргументировать ответы и не уводить обсуждение в сторону.


ПыСы: Начальник тоже не химик, но поговорил со студенткой химиком и она план со строительной известью(гашеной) одобрила.

Показать полностью
39

Газообразный Азот + 5%Водород

Приветствую! В связи с новостью про "сухой лёд" и посты про химию, хочу задать свой вопрос.


На работе есть установка, где охлаждение идёт за счет обдува области пайки смесью "азот+водород". Смесь идет из баллона, по типу "сжатого воздуха", дует постоянно на небольшую область находящуюся рядом с лицом (на уровне шеи).


Уже двум людям работающим за установкой становилось плохо.


Примерно через полчаса начинаются: давление на голову, учащенное дыхание, нехватка воздуха, головная боль, тошнота, повышенное артериальное давление.


Начальство говорит, что смесь безопасна, не токсична, не горит. Но плохо то становится.


Это может быть из-за азота?


Я в химии ничего не смыслю к сожалению, но тут наверное есть умные люди.

Показать полностью
4107

Почему важно знать основы химии

...или когда «забыли», что сухой лёд это CO2 в твёрдом состоянии, который переходит при комнатной температуре в углекислый газ.

Почему важно знать основы химии

https://www.mk.ru/video/2020/02/28/instablogersha-didenko-po...

14

"Вкусные" тривиальные названия или омномном по-химически)

После заучивания тривиальных названий при подготовках к олимпиадам по химии в роде "известковое молоко", поступив на 1 курс на химика-технолога всплыла мысль о создании всеобъемлющего списка подобных названий.

"Вкусные" тривиальные названия или омномном по-химически)

Было желание примененить такой список, открыв какую-нибудь тематическую кафешку( для гиков и не только) рядом с техническим вузом.


А какие забавные химические блюда вы хотели бы видеть в креативной столовке/кафешке?

P.S. Я не скисший сметанат борща)


навеяно Формула борща

Показать полностью 1
615

Кристаллы гидрокарбоната натрия (пищевой соды)

Кристаллы получены путём осушения капли раствора на покровном стекле.

Съемка выполнена на микроскопе Levenhuk 670

Кристаллы гидрокарбоната натрия (пищевой соды)

https://vk.com/mircenall

Показать полностью 1
58

Таблица органических «элементов»

При переходе от неорганической химии к органической многие сталкиваются с тем, что здесь не увидишь привычного написания формул в виде перечисления входящих в молекулу атомов. Мало того, что углеродные цепи обозначаются ломаными линиями и все водороды игнорируются, так еще в формулах часто используются аббревиатуры и двух- или трехбуквенные сокращения атомов или групп атомов.

Так появляются формулы в виде комбинации "органических" и обычных элементов, например, Cu(OAc)2 (и здесь Ас - это не актиний).

Итак, вашему вниманию предлагается таблица органических элементов:

*Нумерация и разбиение на группы - условное

Чтобы разобраться, что означает каждый элемент, ниже структурная расшифровка с примерами:

Для углеродных цепей для уточнения степени разветвления используют дополнительные символы:

n (normal) - нормальный, неразветвленная цепь

i (iso) - изо

s (secondary) - вторичный

t (tertiary) - третичный

c (cyclo) - циклический

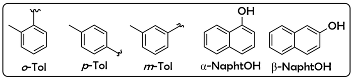
Для ароматических заместителей указывать на положение замещения можно с помощью цифр или буквами о (орто), m (мета), p (пара), а также в некоторых случаях буквами альфа, бета и т.д.

Для чего все это? Сравните сами:

Но химики идут и дальше: большинство растворителей и часто использующихся реагентов записывается аббревиатурами (DABCO, DEAD, AIBN), а аминокислоты – трех- или однобуквенными обозначениями, но это уже совсем другая история...

Показать полностью 5
Отличная работа, все прочитано!