daily100

daily100

На Пикабу
72 рейтинг 15 подписчиков 3 подписки 29 постов 0 в горячем
Награды:
5 лет на Пикабу

Почему иногда недвижимость не лучший вариант инвестиций

На примере ситуации этого лета.
Допустим у вас свободные средства 7,5 миллионов.
1) Можно взять 1км квартиру в "самолёте" , ждать 2 года пока построят и потом сдавать за 40000 в месяц с коммуналкой. (Не учитывая средства на ремонт, мебель и т.д.)
_______________________
2) А можно взять на старте облигации "самолет" с 24% годовых и ежемесячными купонами (с учетом реинвестирования ~27%) почти на 4 года.
В итоге, через пару месяцев стоимость облигаций уже приносит почти + 1 000 000. А каждый месяц капают купоны + 135 000.
Итого за 2 года пока ждете сдачу квартиры, у вас уже + 4 240 000 рублей. Не думаю, что однушка подорожает за 2 года на такую сумму.

Дальше уже по ситуации, если ключевая ставка через два года станет в районе 8%, то тогда опять будет выгодно инвестировать в недвижку.

Прикладываю данные с брокерского счета, которые подтверждают расчёт (увеличил в примере на 10х)

Показать полностью 2
0

Как вам новый тренд на вязанные города?1

Новый тренд после ИИ фигурок - вязанные города. К новому году вообще залетит

Показать полностью 1
3

Пенсия в ваших руках

Новость: "Чтобы выйти на пенсию с выплатой около 45 000₽, человеку нужно получать более 230 000₽ в месяц на протяжении 26 лет. К такому выводу пришли финансовые аналитики, изучив текущую систему пенсионных баллов."

А чтобы получать по 50 000₽ пассивного дохода в месяц, надо всего по 1000₽ в день 8 лет.

Пора задуматься 🤔 и начать инвестировать 🚀

В РФ вернулась возможность покупать акции других стран прямо в Телеграм

Пока в привычных торговых приложениях можно только наблюдать за рекордами S&P500 и ко, в мессенджере телеграм можно покупать токенизированные активы.
Плюсы:
Можно покупать любой актив от 1$ (USDT стабилкоин) в том числе фонд S&P500 на любую сумму, а не кратно крупным лотам.
Минусы:
Комиссии на покупку USDT из РФ и другие сложности. Мало инструментов , скорее только для инвестирования.

Первый скрин из ТГ, а второй - замороженные активы на рост которых можно просто смотреть(

Показать полностью 2

17 iPhone pro на 1 Tb, это всего 100 рублей в день 2,8 лет

Если вы курите 🚬, то расходуете явно больше нового айфона каждые 3 года. На примере ниже инвестици в золото по 100₽ в день 1030 дней.

В #daily100 уже 3 года веду наглядный эксперимент вкладываю по 1000₽ ежедневно деля на 10 разных активов.

17 iPhone pro на 1 Tb, это всего 100 рублей в день 2,8 лет
Показать полностью 1
1

Как начать формировать капитал с любым доходом

984 дня подряд инвестирую в золото по 100₽/день в рамках эксперимента #daily100
В портфеле сейчас 145 000 рублей, а еще и трех лет не прошло. Теперь берем свои 200-300-400 ₽ в день на лишнюю кружку кофе ☕/сигареты 🚬 или другие ненужные траты и умножаем ... Полмиллиона можно накопить за несколько лет без сильных ограничений!

Показать полностью 2
5

Пенсия своими силами

Пенсия своими силами

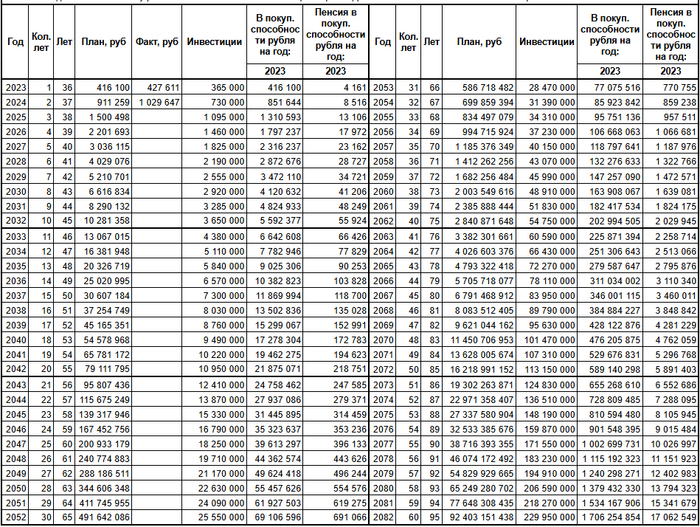
Основное правило в инвестициях, с которым согласны все, это выставление целей и планов на начальном этапе. И если цели у всех разные, то с планом значительно легче определиться. Уже несколько лет следую своему плану в рамках публичного эксперимента. Не отступать от плана сильно помогают возможности автопополнения от т-инвестиций и визуализация результатов на длительном горизонте. Для это подойдет обычная таблица с выбранными в вашем плане параметрами. Вот мои:

План инвестирования в рамках эксперимента #daily100. Данные на основе параметров: 1000 рублей в день и каждые 10 лет умножается на 2, чтобы учесть инфляцию. Рост 19% в год. Инфляция 7,2% в год (средние показатели за 10 лет). Понижающий коэффициент на заход "лесенкой" в течение года 5%. Год начала инвестирования 2023 в возрасте 36 лет. Таблица рассчитана до 95 лет, это не оптимизм, а учитывается с возможностью передачи накоплений детям. Для удобства понимания покупательской способности денег с учетом времени, в таблицу добавлены столбцы с переводом накоплений в рубли на момент начала инвестирования(2023 год). Также в рублях с покупательской способностью на начало инвестирования рассчитывается и сумма ежемесячной пенсии на момент выхода. Для этого надо выбрать год и посмотреть сумму пенсии в таблице. При этом инвестирование прекращается, а сумма накоплений не уменьшается, а увеличивается для корректировки инфляции, а остальное идет на пенсию. Например:

Если по данному плану выйду на пенсию в 55 лет, то на счету будет 79 111 795 или с учетом покупательской способности рубля на 2023 год будет 21 875 071.При этом, я перестаю пополнять счёт и буду получать каждый месяц "пенсию" в размере 218 751 рубля (это в рублях на момент 2023 года). Подумаем, что в 2023 году можно было купить на 218к рублей и понимаем, что это вполне неплохо и на путешествия даже хватит. При этом сумма накоплений будет корректироваться на уровень инфляции и по сути баланс не будет меняться. Другими словами это постоянный размер пенсии. Также можно повторить расчет для любого года выхода на пенсию. Если вообще не выходить, то детям достанется просто колоссальный стартовый капитал. ЭТО ВСЕ ПРИ МИНИМАЛЬНЫХ вложениях План выглядит надёжно как швейцарские часы.

Если изменить показатели в железобетонные для нашего рынка 15%, то ситуация кончено не такая радужная, но все равно очень даже приятные глазу цифры. Также надо учитывать, что я сильно диверсифицирую активы, примерно половина из них защищают от инфляции по рублю.

Делитесь в комментариях вашими планами по инвестированию

Показать полностью 1
Отличная работа, все прочитано!