Горячее
Лучшее
Свежее
Подписки
Сообщества
Блоги
Эксперты
Войти
Забыли пароль?
или продолжите с
Создать аккаунт
Регистрируясь, я даю согласие на обработку данных и условия почтовых рассылок.
или
Восстановление пароля
Восстановление пароля
Получить код в Telegram
Войти с Яндекс ID Войти через VK ID
ПромокодыРаботаКурсыРекламаИгрыПополнение Steam
Пикабу Игры +1000 бесплатных онлайн игр Захватывающая аркада-лабиринт по мотивам культовой игры восьмидесятых. Управляйте желтым человечком, ешьте кексы и постарайтесь не попадаться на глаза призракам.

Пикман

Аркады, На ловкость, 2D

Играть

Топ прошлой недели

  • solenakrivetka solenakrivetka 7 постов
  • Animalrescueed Animalrescueed 53 поста
  • ia.panorama ia.panorama 12 постов
Посмотреть весь топ

Лучшие посты недели

Рассылка Пикабу: отправляем самые рейтинговые материалы за 7 дней 🔥

Нажимая «Подписаться», я даю согласие на обработку данных и условия почтовых рассылок.

Спасибо, что подписались!
Пожалуйста, проверьте почту 😊

Помощь Кодекс Пикабу Команда Пикабу Моб. приложение
Правила соцсети О рекомендациях О компании
Промокоды Биг Гик Промокоды Lamoda Промокоды МВидео Промокоды Яндекс Маркет Промокоды Пятерочка Промокоды Aroma Butik Промокоды Яндекс Путешествия Промокоды Яндекс Еда Постила Футбол сегодня
0 просмотренных постов скрыто
193
StasTatarski
StasTatarski

Об одном удивительном интеграле и пользе специальных функций⁠⁠

3 года назад
Дифференцировать и обезьяну можно научить, а вот интегрирование — это искусство!(народная мудрость)
В этой книге было также написано, как дифференцировать параметры под знаком интеграла — это определенная операция. Оказалось, что ей не особо учат в университетах; там ей не уделяют должного внимания. Но я научился использовать этот метод и снова и снова применял этот чертов инструмент. Так что, будучи самоучкой и учившись по этой книге, я знал особые методы интегрирования.
В результате, когда ребята в МТИ или в Принстоне мучались с каким-нибудь интегралом, это происходило потому, что они не могли взять его с помощью стандартных методов, которые узнали в школе. ( . . . )  Потом приходил я и пытался продифференцировать это выражение под знаком интеграла; часто мне это удавалось. Вот так я завоевал репутацию человека, умеющего брать сложные интегралы, только потому, что мой набор инструментов отличался от всех других, а все другие приглашали меня, только перепробовав все свои инструменты.  («Вы, конечно, шутите, мистер Фейнман!» Фейнман Ричард Филлипс)

Введение
Сегодня я хочу рассказать об одной очень красивой формуле, связывающей дзета-функцию Римана и Гамма-функцию(не пугайтесь я все объясню). Формула выглядит вот так:

Также в процессе своего рассказа я хочу осветить такую тему, как специальные функции и рассказать для чего они нужны.


Специальные функции

1. Мотивация

Часто в задачах математики, физики и других естественных науках нам приходится иметь дело с интегралами, которые не приводятся к стандартным (таким как косинус, экспонента и т.д.). В этом случае весьма полезно знать некоторые "трюки", позволяющие преодолевать такого рода трудности. Одним из таких "трюков" является использование специальных функций.


Первое моё знакомство со специальными функциями произошло во время чтения первого тома Теоретической физики Ландау и Лифшица (Ландау Л., Лифшиц Е. Теоретическая физика. Т. I. Механика. М.: Физмат-лит, 2021 с. 41):

Как видно последняя подинтегральная функция имеет довольно простой вид, однако, так как этот интеграл не выражается через стандартные, приходится идти на различные ухищрения при его вычислении (я не буду приводить здесь вычисления, кроме объявленного интеграла, однако их можно проделать в качестве упражнения с указаниями в учебнике В. А. Зорича "Математический анализ Часть II" или в Демидовиче, к которому есть китайский решебник).


Также гамма-функция значительно упрощает вычисление таких классических интегралов, как интеграл-Дирихле и интеграл Пуассона:

Последний имеет важное значение в теории вероятностей.


Гамма-функция помогает при взятии многих других естественных интегралов:

1) Обобщение интеграла Дирихле

2) Похожие на тот, что был у Ландау

*Где В -- бета-функция Эйлера, которую можно определить равенством:

3) Интегралы Френеля:

2. Забавные свойства гамма-функции

1) Формула понижения

Доказательство проводится интегрированием по частям.

2) Г(1) =Г(2)= 1

Для доказательства Г(1)=1 продифференцируйте exp(-x), а потом проинтегрируйте справа и слева.

Для доказательства Г(2)=Г(1) проинтегрируйте Г(2) по частям.

3) Связь с факториалами

Сразу следует из (1) и (2).

4) Формула Эйлера-Гаусса

Доказательство этого и следующих фактов есть к книге Зорича, ссылка на которую есть выше.

5) Формула дополнения

Из этой формулы следует очень красивое разложение синуса, как произведения:

Обещанный интеграл

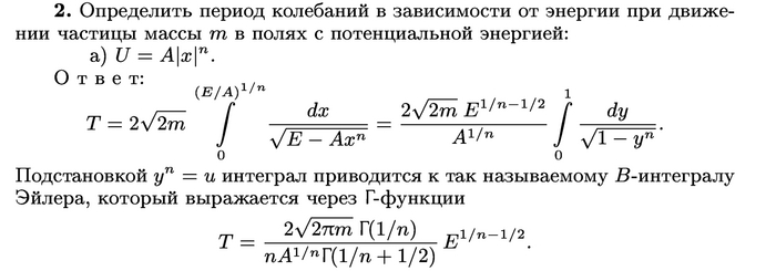
Рассмотрим интегралы вида:

Сделаем замену:

Получаем:

Заметим, что мы уже знаем чему равен этот интеграл. Это Г(s)! Значит:

Остается просто просуммировать по n и мы получим что что надо(формально говоря мы должны рассмотреть предел частичных сумм, а потом занести предел под знак интеграла, предварительно проверив, что функция под знаком интеграла--непрерывная).

Просуммируем убывающую геометрическую прогрессию под интегралом и получим нужное равенство.

Интересный факт

При s=2 получаем интересное равенство:

Однако, чтобы посчитать этот интеграл гамма-функции недостаточно и требуется более серьезная техника (в частности можно свести этот интеграл к другой специальной функции).

Показать полностью 18
[моё] Математика Интеграл Дзета Функция Римана Длиннопост
19
271
Sciberia
Sciberia
Лига образования

Гипотеза Римана и аналитическое продолжение⁠⁠

6 лет назад

Каждый слышал о семи чудесах света. А о семи загадках тысячелетия?
Сегодня мы расскажем и покажем вам одну из них. Речь пойдёт о загадке на миллион долларов — о гипотезе Римана. Присаживайтесь поудобнее и приготовьтесь к познавательному путешествию в мир математики.

За работу над выпуском благодарим:
Переводчик — Дмитрий Кашицын

Редактор — Ксения Мосеенкова

Корректор — Дмитрий Мирошниченко

Диктор — Никифор Стасов

Монтажёр — Олег Жданов
З. Ы.: Ходят слухи, что британский математик Майкл Фрэнсис Атья эту гипотезу уже доказал аж в 2016 году, но доказательство до сих пор ещё не проверено, и потому не считается ни принятым, ни опровергнутым. Кому интересно — скинем в комментарии ссылку на доказательство :)
Если ты хочешь участвовать в переводе или озвучке, напиши нам в vk.com/sciberia_science)

Показать полностью
[моё] 3blue1brown Математика Sciberia Перевод Дзета Функция Римана Видео
64
Zlelik2000

Как я опровергал Гипотезу Римана⁠⁠

8 лет назад

Читал я как-то про нерешённые проблемы науки и попалась мне на глаза статья про Задачи Тысячелетия. Оказалось, что за доказательство или опровержение одной из них (Гипотезы Римана) дают 1000000 баксов. Ну я подумал, что зря что ли столько лет пользуюсь математическим софтом для защиты своей диссертации по физике? Может попробовать срубить миллиончик баксов по-быстрому?


Гипотеза состоит в том, что Дзета Функция Римана равна нулю только тогда, когда вещественная часть комплексного аргумента равна 0.5 (т.е. 1/2), не считая так называемых тривиальных нулей, когда аргумент равен -2, -4 и т.п.


Почитав аргументы за и против Гипотезы Римана я написал небольшую програмку по перебору значений на профессиональном математическом софте Wolfram Mathematica. Через месяц работы программы удалось кое-что найти, что показано на этом скриншоте:

Как я опровергал Гипотезу Римана

Итак, если вещественная часть аргумента Дзета Функции Римана равна 1.039999999999999999, а мнимая 1000000000072486.88, то абсолютное значение этой функции очень мало, а именно 0.0000000166663, что почти ноль. Что и требовалось доказать :).


Читатель может сказать, БУГАГА, 0.0000000166663 это же не точно ноль! Но если посмотреть на тот же скриншот то увидим, что для первого общеизвестного нуля Дзета функции Римана, где вещественная часть аргумента равна 0.5, а мнимая 14.134725, эта программа выдает не совсем ноль, а 0,0000000331023. Так что в пределах допустимой погрешности все верно!


Письмо с требованием миллиона баксов в Институт Клэя писать не буду, в знак солидарности с Перельманом :)


P.S. каждый может это легко проверить, если бесплатно зарегистрируется на http://develop.wolframcloud.com и запустит эту команду:


Abs[Zeta[1.039999999999999999 + 1000000000072486.88*I]] // AccountingForm

Показать полностью 1
[моё] Гипотеза Римана Дзета Функция Римана Задача Математика Наука Риман
30
Посты не найдены
О нас
О Пикабу Контакты Реклама Сообщить об ошибке Сообщить о нарушении законодательства Отзывы и предложения Новости Пикабу Мобильное приложение RSS
Информация
Помощь Кодекс Пикабу Команда Пикабу Конфиденциальность Правила соцсети О рекомендациях О компании
Наши проекты
Блоги Работа Промокоды Игры Курсы
Партнёры
Промокоды Биг Гик Промокоды Lamoda Промокоды Мвидео Промокоды Яндекс Маркет Промокоды Пятерочка Промокоды Aroma Butik Промокоды Яндекс Путешествия Промокоды Яндекс Еда Постила Футбол сегодня
На информационном ресурсе Pikabu.ru применяются рекомендательные технологии