Сообщество - Народный контроль

Народный контроль

1 578 постов 6 460 подписчиков

Популярные теги в сообществе:

25

Обман на Ozon.ru

сделал заказ 16.09.19г., кроссы на др, 4200р(990бонусы от сбербанка списали еще в счет суммы), доставка 20.09.19г. обещали. написал в службу поддержки, а там каждый день в течении недели разные операторы лапшу на уши вешают, то товар у вас в городе, потом на черной грязи ихней, то вам сообщат. а сегодня 28.09.19г. сообщили что они мой заказ аннулировали, хотя я его не отменял. и написали что через три дня вернут 3200р. на карту. а бонусы сберовские на 1000р. фактически украли получается. ужасное отношение и ужасный сервис. И судя по похожим отзывам, это у них в практике, если вы оплатите товар большими бонусами от сбербанка, то будьте уверены, что товар вы не получите, и бонусы конечно тоже.

5

Оригинальный подарок - лишняя морока)

Добрый день)
Решилась написать этот пост, имея только одну цель: предупредить людей о недобросовестной фирме.
Многие люди хотят порадовать своих друзей или любимых необычным и приятным подарком.
- "А что может быть оригинальнее, чем подарок-впечатление?" - решили мои коллеги, и перед выходом в декрет подарили мне таковой.
Суть подарка: выбираешь себе впечатление среди предложенных вариантов, звонишь в фирму, сообщаешь о своём выборе, - тебя записывают на это самое впечатление, ты приходишь и получаешь удовольствие и эмоции. Профит!
Но, однако, не всё так просто)) Выбрали мы впечатление в виде посещения океанариума. записались через сайт, оставили все контакты, заказали обратный звонок. Тишина. Неделю просто пытались дозвониться, но результата не было. У меня самый обычный тариф, так как я практически не пользуюсь телефоном, и от ожидания оператора в течении 20 минут у меня сняли почти все деньги. В какой еще фирме в 21-ом веке входящий звонок платный? Не ожидала такого. Ну да ладно, это мелочи, тем более, что дней через 10 мне таки позвонил консультант.
- Ура! - подумала я, записываясь на желаемую дату.
Но, однако, всё не так просто)

За 1 день до предполагаемого посещения океанариума, нам сказали, что система сломалась и мы никуда не записаны. Перенесли ещё на неделю. А день-то мы уже освободили от других мероприятий, другие планы строить сложно... Ну да ладно, это мелочи.
Подходит назначенная дата, снова тишина, ни звонков, ни писем. Снова заказывала обратный звонок, писала в чатик консультанту на сайте... И вот, наконец, он ответил... Что наша запись снова сорвалась по техническим причинам...)))

Ну, тут даже моё ангельское терпение закончилось, приняла волевое решение выбросить из головы все мысли об этой фирме. Но, прежде чем закрыть тему, решила таким вот образом предупредить других людей.
Если у вас есть враг, или неприятный вам человек, к примеру, строгий начальник или вредная училка - смело дарите такой вот подарочек. Пусть помучается) А друзьям и любимым людям дарить не рекомендую, вместо приятного впечатления вы подарите им кучу головной боли, мороки и возможный срыв планов. Лучше подарите вкусняшку!
На счёт наименования фирмы: я не знаю, можно ли писать её название, не сочтут ли это за рекламу, и потому не стану.

Показать полностью
18

Атака сверху

Всем доброго времени суток. Сложилась, очень неоднозначная ситуация, поэтому прошу помощи
.
Вечером, ребенок пришёл с улицы (живем в обычной многоэтажке, в спальном районе) и пожаловался, что «какой-то лысый мужик» кинул в них с окна железную кастрюлю.

Попал ребенку в ногу, но не сильно (ни синяков, ни царапин нет). Посмотрели записи с камер, на видео не видно, кто это сделал, камера (ни с нашего, не с соседнего подъезда) не «видит» выше 5-го этажа.

И мне теперь интересно, если я (в теории), узнаю, кто это сделал, я могу привлечь этого человека к какой-то ответственности? Не хочется спускать эту ситуацию им с рук..

37

Что делать с Теле2?

Как скурвился Теле2

Все таки, ранее о компании Теле2 я был лучшего мнения, но, видимо, кризис ударил и по их доходам, и компания стала выкачивать деньги всеми доступными средствами!

У моей бабушки есть телефончик, самая простенькая модель для звонков.
Соответственно,  тариф ей подключили без абонентской платы, еще лет  5 назад.
До недавленого времени, если и были проблемки, то несущественные, но последние пару месяцев Теле2 просто побила рекорд своей наглости!

Стали очень быстро заканчиваться деньги, захожу в личный кабинет и что я же я вижу: подключена услуга День в сети, дающая пакет интернета и списывающая абонентскую плату в 16 р/ сутки, , в тот день, когда был выход в интернет.
И моя бабушка, почти каждый день заходит в сеть и весьма активно проводит там время на своем аппаратике.

Непонятная сумма денежного списания, который оператор на линии объяснить не смогла.
и посоветовала идти в салон- писать заявление, которое, кстати, не помогло. Денег мне так и не вернули.

Честно говоря, я сталкиваюсь с таким в первый раз.
Это просто п@&*ц какой то!

Посоветуйте, что сделать в подобном случае, очень не хочется махать рукой на подобную ситуацию.

Показать полностью 3

Борцы со злом - гении...

Главные борцы со Злом - ИСТИННЫЕ ГЕНИИ. Однако им создают катакомбы...

На литературных конкурсах ищут выгод! Чтоб их книжные тиражи окупались - дёргают за ниточки читателей.

Вся организованная по криминальному принципу литературная структура (будущие победители конкурсов, жюри и т.д.) - создают катакомбы ИСТИННЫМ ГЕНИЯМ!

Организаторы конкурсов не виноваты даже в этом! – ведь в ИРОНИЧЕСКОЙ ЭПОХЕ живём! И борцам со злом сегодня тяжело!

Фиктивные победители конкурсов - создают катакомбы ИСТИННЫМ ГЕНИЯМ! Участвующим в этих конкурсах.

Таким образом можно с уверенностью констатировать, что читающие ТАКИХ ПОБЕДИТЕЛЕЙ читатели - получают в полном смысле ИХ (лже-победителей) ЧЕРТЕЙ! ...Чертей таких ПОБЕДИТЕЛЕЙ конкурсов!

Читатель как бы - беседу ведёт с ИХ ЧЕРТЯМИ, читая таких "ПОБЕДИТЕЛЕЙ"! Прыгают читатели К ЧЕРТЯМ ТАКОГО ПИСАТЕЛЯ, читая их (лже-победителей) мазню!

Читать таких писателей – своей душе вредить!

Гений же – НЕ ВЫГОД ищет, снуя на литконкурс! Просто знает гений, что тут – епархия его! Ведь...

Пламенеющая веха в истории человечества с каждым годом - всё видней!


ПОМЕХА гений тем, кто выгод на литературных конкурсах ищет!

Вот к примеру как СЕЙЧАС, В ДАННЫЙ МОМЕНТ ВРЕМЕНИ троллят ГЕНИАЛЬНЫЙ РАССКАЗ: "Отсверк мошны и сперма на бластере. (Мутильник Отсвета"

(в поиске по названию можно найти)


Первая мировая проблема! – катакомбы создают ГЕНИЯМ на литературных конкурсах!


Читайте - получите удовольствие:


https://fancon.ru/2019o_Otsverk_moshny_i_sperma_na_blastere_... - Удовольствие получите. Этот ГЕНИАЛЬНЫЙ рассказ сейчас троллят на конкурсе!


https://fancon.ru/2019v_Nesusvetnyj_royal_AleNG_opaNG_k_ot_r...


https://mybook.ru/author/lajla-vandela/pereklichka-glaz/ (здесь почту указать не бойтесь, чтоб читать)


http://litclubbs.ru/writers/3395-zakladochka.html

Показать полностью
7

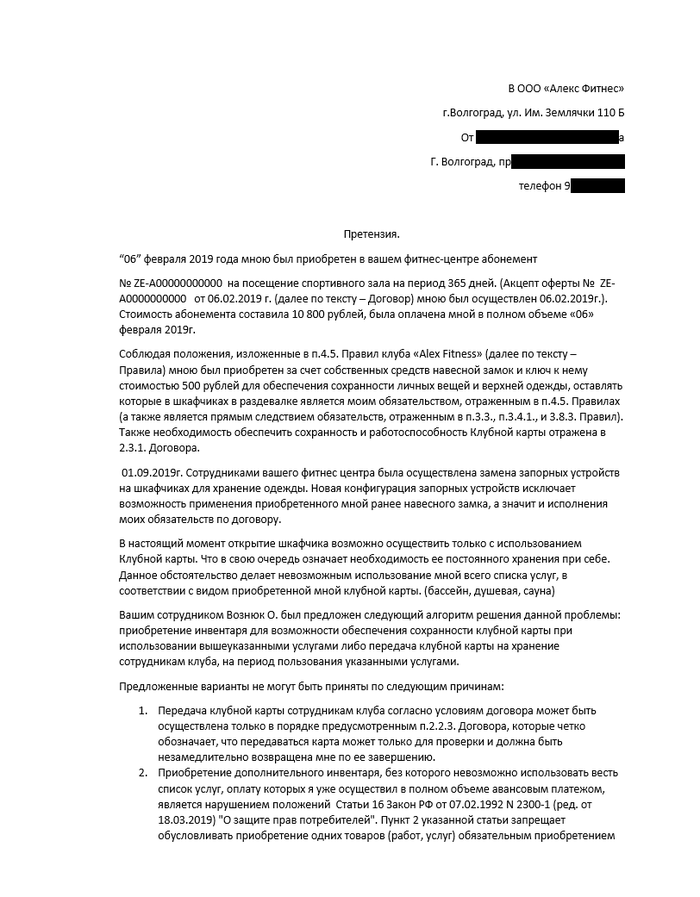
ALEX FITNESS Волгоград, или как навязать платные услуги.

Всем привет. Давно читаю пикабу и вижу #силапикабу творит чудеса.

Первый пост.. и как не печально на написание побудил негатив.

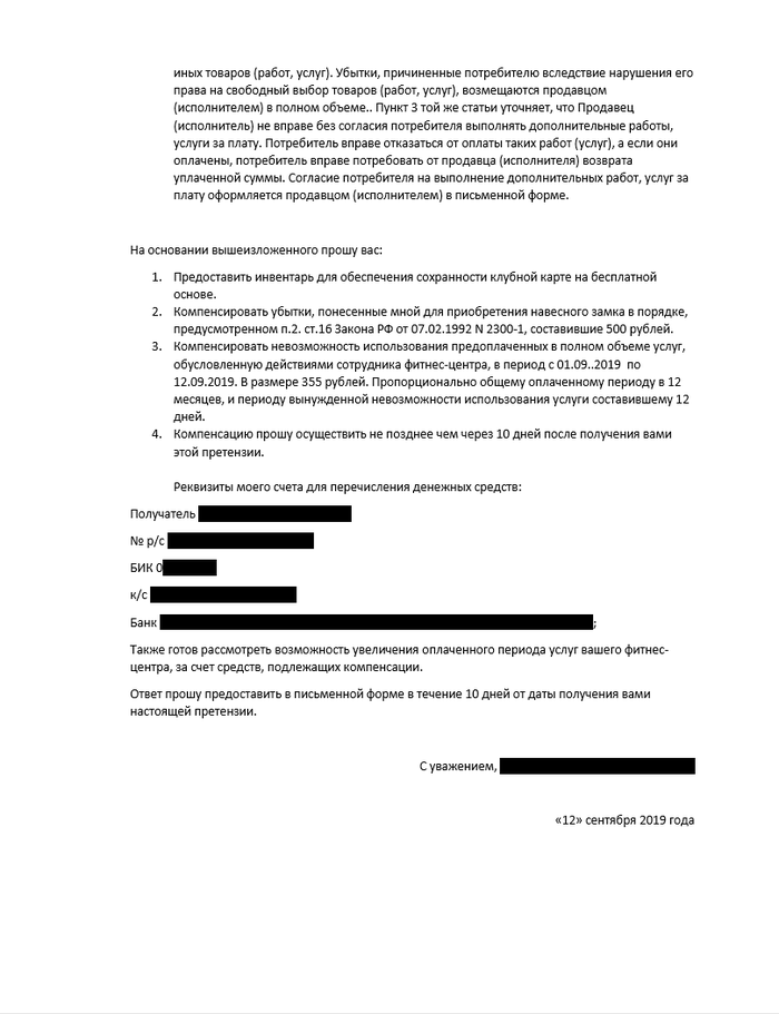
Все началось 6 февраля 2019г. когда мы с женой решили приобрести абонементы на год в сеть фитнес центров #ALEX FITNESS. Привлек бассейн, сауна, тренажерный зал. Жена ходила 3 дня в неделю в бассейн, я же, в тренажерку и сауну. Все было хорошо. купили кодовые замочки на шкафчики, где хранили во время тренировки одежду и карту-пропуск (абонемент) в клуб. 

С сентября месяца в клубе решили внедрить "инновационные технологии" для "удобства" членов клуба. На шкафчиках в раздевалке устанавливали электронные замки которые отпираются и запираются картой-пропуском. Безусловно это удобно (подумал я)... но теперь карту-пропуск надо носить с собой. ОК. Но вот незадача, управляющие не продумали что делать с картой в бассейне, душевой и сауне.При поломке или утере, карта стоит 900руб. При этом ты не можешь ее нигде оставить т.к. , по договору, несешь за нее ответственность, ну и за сохранность своих вещей тоже.  Хотя нет, выход они нашли.. они начали продавать (900р) эти же карты в виде силиконового браслета. И теперь ситуация следующая: хочешь в сауну, бассейн, душ - покупай браслет или @бись с картой-пропуском и думай куда его засунуть что б не потерять/намочить/перегреть и пр.  Т.е. ребята спровоцировали ситуацию: вроде мы вам не запрещаем посещать сауну, бассейн, душ, но мы вам создадим такие условия что вы "захотите" приобрести браслет (доп услугу).


Написал две претензии (выложу одну), конечно же получил отказ, даже не попытались найти компромисс. Хотя пытались.. предложили оставлять карту-пропуск в тренерской (в другом конце бассейна, без присмотра... и видимо после душа голым бежать в тренерскую через весь бассейн за картой это нормально... 



Следующий шаг идти в Роспотребнадзор и в комитет по защите прав потребителей.


ну и верю в силу пикабу. Буду рад любой помощи.


первый пост.

Показать полностью 4
10

Огромная батарея

От одного из родственников пришёл телефон с жалобой на плохой акб.
Решил узнать в чем дело заодно отклеил наклейку от батареи и просто офигел от настолько наглого обмана.Обратите внимание на заявленную ёмкость аккумулятора с наклейкой от vertex и без нее.А по факту после замера там реальных вообще только 2910 mah(тестер не сфоткал,делал замер не у себя).
Покупайте гаджеты с осторожностью.

Показать полностью 2
35

Не совпадает номер двигателя

Здравствуйте дорогие Пикабушники, расскажу вкратце. Приобрели автомобиль жене, Шкода Фабия 2008 года, двигатель 1,2 69 л.с.. Прошли техосмотр, сделали страховку, ездий да радуйся, но при прохождении осмотра для постановки на учёт, нас развернули, сказав что двигатель меняный и необходимо его заменить на заводской агрегат, иначе на учёт машину вам не поставят. Позвонил прежнему владельцу, на контакт идёт, про замену двигателя, по его словам, ничего не знает, ставили на учёт машину на жену год назад никаких проблем не было. Два двигателя абсолютно идентичны по характеристикам, но разного года выпуска. Родной двигатель должен быть с маркировкой BZG, а установленный с маркировкой CGP 2011 года выпуска.Сказали , если бы был BZG проблем бы не было, на следующей неделе поедем в ГИБДД вместе с предыдущим владельцем, но не знаю чем дело кончится.

Не совпадает номер двигателя
Отличная работа, все прочитано!